Labo 3: operationele versterker
Tijdens dit labo kunnen we geen gebruik maken van de klassieke of meest eenvoudige vorm van de inverterende en niet-inverterende versterker. Hierbij maak je gebruik van “1 signaal” op een ingangspin van de OpAmp, en wordt de andere aan je 0-volt referentiespanning gehangen. Maar omdat we onze ESP gebruiken als signaal-generator is dit geen optie (ESP32 kan enkel 0-3.3V spanningen genereren). We voegen dus een “offset-spanning” toe om de eigenschappen van de versterkers goed te kunnen demonstreren.
3.1 OPAMP als niet-inverterende versterker
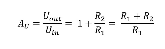
Basisschakeling van OPAMP als niet-inverterende versterker en formule voor de versterking :
Je hoeft nu nog niets te bouwen, we bekijken eerst de theoretische onderbouwing van de schakeling!
We weten dat de uitgangsspanning van de OPAMP steeds beperkt zal worden door de gebruikte voedingsspanningen en bijgevolg nooit buiten de zogenaamde saturatiespanningen zal liggen. Vaak gebruikt men een zgn. symmetrische voeding bij een OPAMP, bv. +12 V en -12 V.
Aangezien echter de spanningen op de in- en uitgangen van de ESP32 steeds liggen tussen 0 V en +5 V (of +3V), zullen we voor deze proeven een OPAMP gebruiken die eveneens gevoed wordt met 0 V en +5 V. We zullen hiermee bijgevolg dus nooit een negatieve uitgangsspanning kunnen krijgen.
We gebruiken de gegenereerde sinus (GPIO 25) en de dc offset (GPIO 26) van twee pagina’s geleden, als inputs voor onze OPAMP. Tijdens dit labo werken we zoveel mogelijk met de oscilloscoop. Hierbij kan je o.a. de frequentie, de spanning en de peak-to-peak voltage aflezen.
OPAMP LM324
Dit labo werken we met de geïntegreerde schakeling (IC) LM324. Dit is een IC wat 4 verschillende OPAMPs bevat. Sluit pin 4 aan op de voeding (5V) en pin 11 aan de grond. Controleer dit erg grondig, verkeerd aansluiten ZAL je opamp beschadigen! Je ziet hier op de afbeelding dat de linkerkant van de IC een soort “boog” heeft. Deze is ook te zien op je fysieke IC zodat je weet hoe je het IC moet draaien.

Pinout LM324
De schakeling
Hiernaast staat hoe je de OPAMP moet gebruiken bij het maken van je schakelingen. Let op: trek je USBkabel uit je computer tijdens opbouwen!
STAP 1: Teken eerst (op papier) hoe je je schakeling gaat opbouwen. Dit maakt het makkelijker om later te debuggen als er iets mis gaat.
Nu kan je starten met bouwen!
STAP 2: Connecteer de negatieve terminal (pin 2 bij de OPAMP) met de dc-offset (1.8V op pin 26) i.p.v. met de grond zoals de eerste afbeelding op deze website. Dit is de referentiespanning t.o.v. de positieve terminal. Gebruik altijd ROOD voor de meest positieve spanning, en ZWART voor de 0-Volt referentiespanning (GND), zowel bij je jumperdraden als met dikkere snoeren!
STAP 3: Bouw de niet inverterende versterker-schakeling, bereken de weerstanden zodat je een versterking van 6 krijgt, met een weerstand R2 (Feedback weerstand) van 10k Ohm.
STAP 4: Verbind de “Sinus” en de “Offset” GPIO pin van de ESP met respectievelijk de “U_in” en In plaats van het ground symbool bij de Inverterende ingangs pin van de OpAmp.
STAP 5: Sluit tenslotte de Oscilloscoop aan: verbind de zwarte aansluiting met de GND of 0-volt referentiespanning van je circuit. Sluit de rode klem aan op een (oranje of gele) jumperdraad. Met dit draadje kan je vervolgens de singalen gaan “proben”. Let er op dat je zeker de uitgang (U_out) en Ingang (U_in) op je scoop kan tonen! Je mag hiervoor ook gebruik maken van het 2e kanaal op de oscilloscoop.
Opdracht 3.1.a
Roep de docent, demonstreer de functionaliteit van de schakeling.
ANS vraag 1a, 1b, 1c
